时间:2020-09-04
近日,复旦大学信息科学与工程学院电光源研究所张树宇副研究员与剑桥大学Bartomeu Monserrat合作团队在高光效蓝光钙钛矿纳米晶研究上取得重要进展。9月3日,相关研究成果以“Highly Efficient Blue-Emitting CsPbBr3 Perovskite Nanocrystals through Neodymium Doping”为题,发表于期刊《Advanced Science》(https://doi.org/10.1002/advs.202001698)。论文第一作者是复旦大学博士研究生谢毓俊和剑桥大学博士研究生彭博,通讯作者是复旦大学张树宇和剑桥大学Bartomeu Monserrat,复旦大学为论文第一单位。该工作得到国家自然科学基金资助。
全无机卤铅钙钛矿纳米晶材料因其半波宽窄、带隙宽度易调等一系列优异特性而备受瞩目,在诸如显示、激光、光伏、传感与成像等领域都具备极大的应用前景。卤素组分调节是实现钙钛矿纳米晶发光波长调节的重要手段,但目前,蓝光钙钛矿纳米晶CsPbClxBr1-x因其晶格引起的深能级固有缺陷导致了材料本身的低荧光量子产率,限制了钙钛矿材料在器件中的进一步应用。
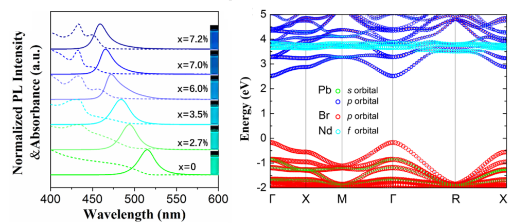
针对以上问题,合作团队利用配体辅助法原位合成了钕离子掺杂的CsPbBr3纳米晶蓝光发射体系。区别于传统的卤素/尺寸效应调节钙钛矿荧光发射峰位置,该体系通过控制钕离子掺杂比例实现了绿光到深蓝光波段的荧光发射可调,在459nm蓝光发射峰位置得到了90%荧光量子产率和19nm半波宽的优异结果。研究显示,钕离子对主体晶格中铅离子的部分替位掺杂打破了空间平移对称性,相对于较稳定的价带能级,导带能级发生的位移改变了带隙宽度,实现了荧光发射可调。与此同时,掺杂体系激子结合能的增加和晶格收缩对振子强度的增强是辐射复合速率提升的两个主要因素,辐射复合速率的提升进一步优化了该体系的荧光量子产率。该物理机制为钙钛矿纳米晶组分工程提供了新的思路方案,进一步拓宽了钙钛矿材料的应用前景。
张树宇课题组主页:http://homepage.fudan.edu.cn/zhangshuyu。
.png)
图1 不同钕离子掺杂比例下CsPbBr3纳米晶的荧光发射光谱和吸收光谱,以及掺杂后的能带结构

